함수의 입력값과 출력값을 좌표 평면에 그려 나타낸 것이다. xy 좌표(좌표 평면)에 나타낼 경우 입력값을 x, 출력값을 y로 한다.
그래프가 축과 만나는 지점이다.
x 절편은 x 축과 만나는 지점, y 절편은 y 축과 만나는 지점이다.
그림과 같은 그래프가 있을 때, x 절편은 (3,0), y 절편은 (0,2)이다.
직선 형태이다.
y=ax+b (a는 양수 또는 음수)인 일차함수 식에서 a는 기울기이며, 기울기는 x가 1만큼 증가할 때 y의 변화를 나타낸다.
y=2x+5는 y=ax+b에서 a=2이므로 기울기는 2이다.
따라서 x가 1만큼 증가할 때 y는 2만큼 증가한다.
일차함수의 y 절편을 구한 후, 기울기를 통해 직선을 그린다.
y=x+3을 그려보자.
y=x+3은 y=ax+b에서 a=1이므로 기울기는 1이다.
x=0일 때 y=3이므로 y 절편은 (0,3)이고, 기울기가 1이므로 x가 1만큼 증가할 때 y도 1만큼 증가한다.
따라서 y=x+3을 그리면 아래 그림과 같다.
∪나 ∩와 같이 한쪽이 볼록한 형태이다.
y=a(x−p)2+q (a는 양수 또는 음수)인 이차함수 식에서 a>0인 경우 ∪와 같이 아래로 볼록,
a<0인 경우 ∩와 같이 위로 볼록한 그래프 개형(대략적인 모양)을 갖는다.
가장 꼭대기나 바닥에 있는 한 점이다.
y=a(x−p)2+q인 이차함수 식에서 꼭짓점의 좌표는 (p,q)이다.
y=2(x−1)2+5인 이차함수 식에서 꼭짓점의 좌표를 구해보자.
y=a(x−p)2+q에서 p=1,q=5이므로 꼭짓점의 좌표는 (1,5)이다.
이차함수가 다항식으로 표현된 경우 a(x−p)2+q의 형태로 만들어 꼭짓점을 구한다.
예를 들어 y=2x2−4x+7은
y=2(x2−2x)+7,
y=2(x2−2x+1−1)+7,
y=2(x2−2x+1)−2+7,
y=2(x−1)2−2+7,
y=2(x−1)2+5이므로 꼭짓점의 좌표는 (1,5)이다.
(x−1)2=(x−1)(x−1)=x(x−1)+(−1)(x−1)=x2−x−x+1=x2−2x+1
y=a(x−p)2+q인 이차함수 식에서
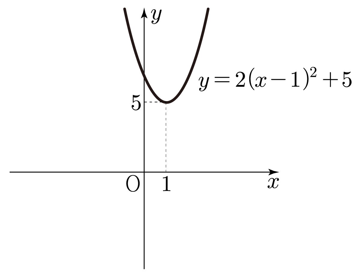
y=2(x−1)2+5를 그려보자.
y=a(x−p)2+q에서 a=2,p=1,q=5이다.
a>0이므로 그래프는 아래로 볼록하며, p=1,q=5이므로 꼭짓점의 좌표는 (1,5)이다.
따라서 꼭짓점이 가장 아래쪽에 위치하도록 아래로 볼록한 그래프를 그리면 아래 그림과 같다.
정답: $1$
y=21x+1은 y=ax+b에서 a=21이므로 기울기는 21이다.
x=0일 때 y=1이므로 y 절편은 (0,1)이고, 기울기가 21이므로 x가 1만큼 증가할 때 y는 21만큼 증가한다.
그러므로 y=21x+1을 그리면 아래 그림과 같다.
따라서 정답은 1번이다.
정답: $3$
y=−2(x−1)2+3을 그려보자.
y=a(x−p)2+q에서 a=−2,p=1,q=3이다.
a<0이므로 그래프는 위로 볼록하며, p=1,q=3이므로 꼭짓점의 좌표는 (1,3)이다.
그러므로 꼭짓점이 가장 위쪽에 위치하도록 위로 볼록한 그래프를 그리면 아래 그림과 같다.
따라서 정답은 3번이다.